QuloosというメーカーのポータブルUSB DAC・ヘッドホンアンプ「MUB1」を試聴してみたので、感想を書いておきます。
![]() |
| Quloos MUB1 |
最先端のスペックで、価格はUS$500程度という比較的安価なモデルです。バランス駆動はもちろんのこと、Bluetooth受信やS/PDIF出力といった豊富な機能を搭載してるので、USBドングルDACからのアップグレードに最適かもしれません。
Quloos MUB1
以前からQuloosというメーカーの名前は知っていたものの、これまで実機を触る機会が無かったのですが、身近な友人が今回MUB1を貸してくれたおかげでじっくり試聴することができました。
![]() |
| Quloos MUB1 |
Quloos、もしくはQLS Hifiというのは中国のメーカーで、漢字では乾龍盛電子科技というそうで、中国語読みの頭文字の三文字オーディオブランドが近頃あまりにも多い中で、さらにQLSの読みでQuloosに変えたのは良いアイデアだと思います。外観もなんとなくFiioっぽいことからも想像できるように、多くの中華系オーディオメーカーと同様に、スマホやハイテク産業で有名な深センに本拠地を置いています。
| QA390 + PS1 |
私の勝手な印象としては、FiioやiBassoなどのポータブル大手と比べると、Quloosはどちらかというとニッチなオーディオファイルに特化した製品を作っており、今作のようなポータブル系よりもデスクトップ据え置きのDACアンプなどで有名です。
現行製品では据え置きのオールインワンDACアンプ兼DAPの「QA390」が主力モデルのようで、専用の高品質DC電源PS1と合わせて販売しています。
| Quloos QA360・QA361 |
DAP界隈では「QA360」「QA361」というモデルを見たことがある人もいるかもしれません。十年前くらいのモデルですが、まるで1980~90年代のフィリップスとかを連想するようなノスタルジックなデザインとは裏腹に、内部回路はしっかり当時の最先端へ作り込んでいるギャップが面白いです。ちなみにQuloosの公式サイトを見ても、タイトルバナーとか、インターネット黎明期を彷彿とさせる安心感があります。
| QLS QA550 |
公式サイトに過去製品も掲載されているのですが、まだDAPという概念すら普及していない2009年の時点で「QA550」というS/PDIFトランスポート製品を発売しているので驚きました。
高音質DAPが普及するのも、Astell & Kern AK100が2012年、Fiio X3が2013年ですし、かなり先進的な試みです。
このQA550はCDトランスポートの代用として、SDカードのWAVデータからS/PDIFを出力するという、コアなオーディオファイルしかメリットを理解できないようなニッチな製品ですし、この時点からヘッドホンオーディオではなく、あくまで据え置きシステムの一環として開発しているあたり、他のポータブル系メーカーとは一線を画するQuloosのイメージが伺えます。
![]() |
| USB OTG接続 |
今回使ってみたMUB1というモデルはUSB DACアンプなので、スマホなどをトランスポートとして使います。Bluetooth受信機として使えるのも便利なのですが、その場合の音質は通信コーデックに依存する部分が大きいので、今回は主にUSBで活用しました。
本体前面の黒いガラスは一見タッチスクリーンDAPのように見えますが、実はほとんどダミーで、上の写真のように小さな二行のテキストしか表示されません。
![]() |
| 操作ボタン |
もちろんタッチスクリーンではないので、操作はすべて側面のボタンで行います。この方が直感的で使いやすい反面、数週間使ってみたところ使いづらい点もありました。
すべてのボタンが一列に並んでおり、大きさや突起の有無で一応判別できるようになっているものの、全部円形なので、とくにケースに入れた状態だと押し間違えやすいです。毎回上から順番に数えてから押す癖がついてしまいました。
上から順に、電源とボリューム上下のボタンはそれぞれ単一機能なのでわかりやすいのですが、その下の三つがやっかいです。
これらは設定項目画面の巡回と切り替えボタンになっており、数秒放置して画面が消灯した状態では、トランスポート側(スマホのプレーヤーなど)の曲送り・戻りボタンになります。ようするにリモコンとして使える便利機能なのだと思いますが、間違えて押してしまう事が多々あり、余計なお世話だと思いました。
![]() |
| ゲイン設定 |
設定メニューはヘッドホンアンプのゲイン、DACのフィルター、ヘッドホンとS/PDIF出力切り替え(同時は不可)、電源ケーブル接続時の充電・給電といった項目が用意されています。
画面上段に情報が集約されており、上の写真の例だと、USB接続、ボリューム23/100、Superゲイン、フィルター4、バッテリー残量という具合です。
![]() |
| Charge: Disableだと給電のみで充電しません |
![]() |
| 下面の入出力端子 |
本体下面には3.5mmシングルエンドと4.4mmバランスヘッドホン出力、USB-Cはデータ用と充電用に二つ用意されており、スマホから無駄なバスパワー電力を吸わない設計なのは嬉しいです。ただし据え置きで使う場合はUSBを二本接続しないといけないのは面倒です。
右端の3.5mmはS/PDIF出力用で、同軸と光ケーブルの両対応になっています。同軸の場合はTRSのTが信号でSがシールドですので、他社DAPでよく使われているTRRSタイプのS/PDIF変換ケーブルとは互換性がありません。
![]() |
| 付属ケース |
柔らかいクリアケースが付属しています。昔からポータブルオーディオをやっている人なら、MUB1本体のデザインやクリアケースの質感など、なんだか十年前のFiio X7とかを連想する懐かしさがあります。私が当時愛用していたFiio X5 DAPなんかもまさにこんなケースでした。
MUB1の内部スペックを見ると、142gの筐体に2500mAhのバッテリー、D/A変換はシーラスロジックCS43131、ヘッドホンアンプにBUF634を採用しており、バランスでの最大出力は1100mW(32Ω)と書いてあります。
USB入力はDSD256・PCM384kHz 32bit対応、Bluetooth入力はv. 5.0でLDAC・aptX/aptX-HD・AAC・SBC対応だそうです。
| CS43198と書いてあります |
ところで、D/Aチップに関してはちょっと混乱がありました。発売当初一部ショップの画像やテキストではCS43131ではなくCS43198と書いてあり、Quloos公式サイトでは同じ画像がCS43131と差し替えられています。開発途中で変更があったのでしょうか。(後日各ショップ画像はCS43131に差し替えられましたが、テキストはCS43198のままのところが多いです)。
どちらも同じ系列のチップなので、このクラスの製品ならそこまで気にすることもないと思いますが、古くからマランツのSACDプレーヤーなどで広く使われていたのがCS4398・CS43198で、その後ポータブル向けに消費電力を下げてヘッドホンアンプ回路などの機能を詰め込んだオールインワンICとして生まれた最新チップがCS43131です。
とくに中国を中心にたくさんのUSBドングルDACが続々登場していますが、それらの多くがCS43131を採用しており、ワンチップでボリューム操作からヘッドホンアンプまで内蔵しているため重宝されています。
MUB1はこれをベースに、独自の高性能USB・Bluetoothインターフェース、追加の電源回路やアンプ回路を導入することでオーディオ性能を高めているようです。安易に今流行りのドングルDACとして発売するのではなく、そこはQuloosとして一筋縄では済ませないという心意気からでしょうか。
ちなみにCS43198とCS43131の基本的なD/A変換手法に大きな差は無く、チップ単価も同じようなものなので、順当な後継チップという扱いもできる一方で、データシートのブロック図を見ると一目瞭然ですが、CS43198はDSDデータを直接アナログスイッチに送るダイレクトモードがあったのに対して、CS43131はそれが排除されて、ESSのように多ビットのプロセッサーを必ず通るので、そのあたりも含めて、据え置き機では未だにCS43198が好まれている印象があります。
DSDをダイレクト出力するとチップ内でボリューム操作ができないため、ドングルDACには不利ということで機能が排除されたのでしょう。実際のところ二つのモードを交互に聴き比べたわけではないので、どの程度の差があるかは不明ですが、プロセッサーと言っても昔のような4fsのPCM変換というわけではないので、文句を言うほどの話でもなさそうです。
余談ですが、シーラスロジックはCS43198からCS43131のあいだに競合のWolfson社を合併吸収しているので、CS43131はWolfsonの面影も伺えるなんていう人もいます。
デジタルフィルター
設定メニューで選択できるデジタルフィルターは「Fast・Slow・LL Fast・LL Slow・NOS」の五種類が用意されており、これらはすべてMUB1が採用しているシーラスロジックCS43131 D/Aチップに標準で組み込まれているものです。LLはLow Latencyの略です。
| Low Latency Fastフィルター |
44.1kHz・16bitのパルス信号で「Low Latency Fast」フィルターでは上のような波形になり、非反転で、D/Aチップのデータシートとも一致します。
![]() |
| NOSも選べます |
| NOSモード |
| NOSモード |
ちなみにNOSモードというのもCS43131チップに標準で内蔵されているのは最近のトレンドらしくて面白いです。
そもそもCS43131はマルチビットR2R型DACではなく、近代的な高速デルタシグマ型DACですから、オーバーサンプリングがD/A変換の根幹にあるので、NOSというのも変な話です。そのためオーディオマニアが想像するようなR2RのNOSというよりは、NOS風エミュレーションといった方が良いかもしれません。
つまりオーバーサンプリングするにもデータをスムーズに繋がるよう補完するのではなく、あえてビットごとの階段状に見えるように補完している感じです。簡単に例えるなら、古いゲーム機のドット絵を4Kモニターで表示する際、スムーズにぼかすのではなく、カクカクしたピクセルの感じを維持したまま拡大するような感じです。
パルスを見るとリンギングせず山のように盛り上がっていますし、サイン波形も階段状っぽくみえますので、NOSの意図は反映されているようです。
ただし、サイン波を見てもわかるとおり、実際のR2R NOSのような直角な階段ではなく、しかもハイレゾ対応回路ですからLPFで階段が鈍るのでもなく、むしろ逆に、尖ったノコギリ状にオーバーシュートしている感じなので、本当にこれで良いのかという疑問はあります。ゲーム機のドット絵の例に戻ると、ピクセルごとの輪郭だけが枠取りのように強調されている感じです。
同じCS43131チップを使うにしても、外部FPGAなどでもっと精巧なNOSっぽいオーバーサンプリングを作り込めると思いますが、そこまでしてNOSにこだわるならR2R DACを買った方が良いでしょう。
そもそもNOSというのは音質の良し悪しではなく、1980年代のCD楽曲は当時の再生機で使われていたD/A変換で聴くのがベストという考えが根底にあるので、最新のハイレゾ音源ばかり聴いている私にはあまりメリットがありません。これまたレトロゲームと最新ゲームの違いみたいなものです。
ヘッドホン出力
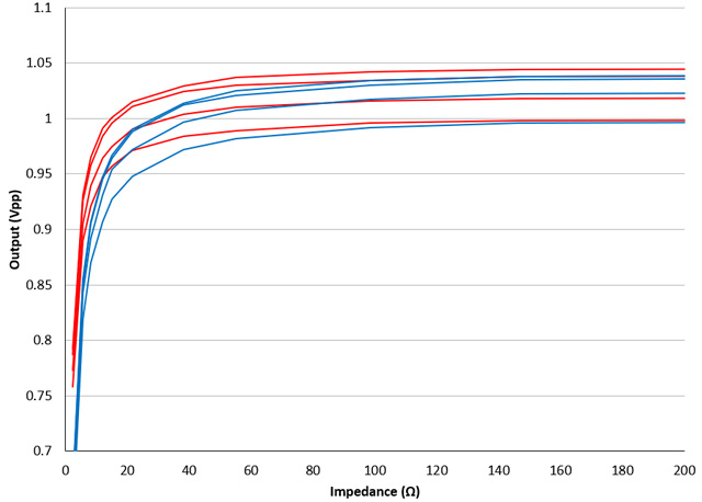
いつもどおり0dBFSの1kHzサイン波を再生しながら負荷を与えて歪みはじめる最大出力電圧(Vpp)を測ってみました。
| 出力電圧 |
バランスが青、シングルエンドが赤で、それぞれSuper・High・Medium・Lowの四つのゲイン設定があります。
こうやって見るとHighとMediumの切り替えだけはソフト上のリミッターのようで、それ以外はアンプ回路自体が変化しているようです。
バランスでの最大電圧は25Vpp(8.8Vrms)もあり、インピーダンス40Ωあたりまで粘ってくれるので、最近主流の低インピーダンスで低能率なヘッドホンもしっかり鳴らしてくれそうです。公式スペックによると32Ωで1100mWとありますが、実測でも1200mWくらい出せています。もちろんどれくらいの歪みを許容できるかで正確な数値は変わります。
グラフには現れない注意点としては、ゲイン設定がHighとSuperでボリューム最大付近では、負荷に関わらず、バランス・シングルエンドのどちらも音が歪みます。最大ボリュームが100に対して80くらいまで下げる事で歪みが解消されます。
ただし、これはフルスケール信号での話なので、ヘッドルームを十分に確保している楽曲であれば問題ありません。
同じテスト信号にて、無負荷時にボリュームを1Vppに合わせて負荷を与えていったグラフです。
バランス出力(青線)の方が電圧の落ち込みが若干大きいものの、どちらも極めて優秀な部類で、出力インピーダンスはシングルエンドで約0.6Ω、バランスで1.2Ωくらいになります。
ゲイン設定を変更しても出力インピーダンスが変わらないのは、つまり安易に出力アッテネーターなどを入れていないという事なので、イヤホンユーザーにはありがたいです。
| バランス出力 |
バランス出力、ゲインSuperでの最大出力電圧を、最近のヘッドホンアンプと比較してみました。
今回は私が普段使っているHiby RS6 DAPをトランスポートとしてMUB1を使ったのですが、RS6単体と比べて大幅なパワーアップが得られます。
一方、Fiio M15Sを使っているのなら出力面でそこまでのメリットは見いだせないかもしれません。低インピーダンス側での電圧の落ち込みが似ているのは、アンプの設計が似ているのでしょうか。
さらに典型的なUSBドングルDACのiBasso DC04PROと比べてみると、こちらはやはりUSBバスパワーに依存するため最大電圧がかなり低いです。
逆に言うと、ほとんどのイヤホンはドングルDACでも問題なく鳴らせるわけですから、あえてヘッドホンを駆動するのでないかぎり、最大電圧にはそこまでこだわる必要は無いと思います。
音質とか
今回の試聴では、Hiby RS6 DAPをトランスポートとして、USB OTG接続で使ってみました。もちろんパソコンやスマホからでも問題なく使えます。
まず電源について、バッテリー・外部給電・充電と切り替えて聴き比べてみたところ、私の耳では違いがあまりわかりません。それはそれでMUB1が優秀ということです。充電中はイヤホンからチリチリとノイズが聴こえて使い物にならないDAPが結構多いのですが、MUB1はそうではないので常時給電の据え置き用途でも十分活用できそうです。
![]() |
| UE RR |
![]() |
| Hifiman Arya Organic |
UE RRやIE600などいくつか自前のイヤホンを使ってみたところ、最大ゲインを選んでもアンプのバックグラウンドノイズが目立つということもありませんでした。このあたりはさすが優秀です。
出力は十分あるので、平面駆動型ヘッドホンなども問題なく鳴らせます。最近登場したHifiman Arya Organicを聴いてみたところ、パワー不足も感じさせず、しっかりとダイナミックに駆動できています。
MUB1の音質について、まず最初に言っておきたいのは、ヘッドホン・イヤホンに関わらず、ゲイン設定によってサウンドの印象がかなり大きく変化します。
Low→Medium→High→Superの四段階が用意されており、Low→Medium以外の切り替えでは内部からカチッというリレーのような音が聞こえます。つまり単なるソフトの上限設定ではなく、アンプのアナログ回路的に何かが切り替わっているのでしょう。
特にHighとSuperのあいだで音質が大幅に変わるので、好みに応じて切り替えるべきです。Highでの比較的かっちりしたというか、コンパクトな型にはまったような鳴り方が、Superにすることで若干ルーズな余裕を持った鳴り方に変わるので、私としてはそちらの方が好みです。
iFi micro iDSDなどのようにアナログボリュームポットを採用しているアンプでしたら、イヤホンの感度に応じて、できるだけノブを半分よりも上げた状態で適正音量が得られるようにゲインスイッチを下げるのが定説ですが、MUB1のような高ビットのデジタルボリュームであれば、あえて高いゲインを選んで、ボリュームを下げた状態で聴いても問題ありません。幸いSuperでもアンプのノイズフロアは低いままなので、IEMイヤホンでも大丈夫だと思います。
HyperionレーベルからMarc-André Hamelinのフォーレのピアノ新譜を聴いてみました。
Hamelinは定番以外でも手広く色々なジャンルをやっているので、特に今作のように、そこまで録音数が多くない作品にも光を当ててくれるのが彼の一番の魅力だと思います。
フォーレというと合唱曲などの印象で真面目で近寄りがたいイメージがあるものの、今作の夜想曲や舟歌など、印象派よりもメロディ寄りで、ショパンほどこってりしておらず、絶妙に良い感じが出せています。気に入った曲があれば他のピアニストの演奏と聴き比べるのも面白いです。そして一通り色々と聴いた上で、やっぱりこれが一番ストレートで良いな、と思えるのがHamelinの演奏だと思います。
このアルバムは192kHz・24bit音源なので、ひとまずデジタルフィルターの効果は無視できます。
MUB1のサウンドの第一印象としては、空間が横に広く、繊細で、情報量が多い鳴り方だと思います。音量は十分すぎるほど出せるのですが、いわゆるブースターアンプ的な荒っぽさや厚い低音ブーストを加えるわけではなく、むしろドングルDACとよく似た透明感のあるサウンド傾向です。
搭載D/Aチップによって音質傾向を語るのは賛否ありますが、昔と比べると、ポータブルのドングルDACなどでは、入力フィルターやボリューム調整から電圧出力に至るまで、多くのことをワンチップDACに依存しているので、たしかにチップ特有の音質傾向というのは存在しており、このMUB1も近い印象があるように思います。
もちろん、昔のCDプレーヤーや、現在でも大きな据え置きDACなどになると、たとえばMUB1と同じシーラスロジックで有名なマランツなどを見ても、D/Aチップの素の特性を下地として、その後に多彩な電解コンデンサーやディスクリートアンプなどの作り込みで総合的な音作りを行っています。
その点MUB1はアンプ回路部分に変な小細工を入れず、クリーンな増幅に努めているため、数あるドングルDACで聴いたようなD/Aチップの特徴がそのまま現れているのかもしれません。特にグランドピアノを聴くと、一音ごとに細やかでありながらキラッと光る倍音成分が強調されるあたりは、まさにそれっぽいです。
ピアノ録音のステージ空間の広さも、奥行方向の距離感や立体感はそこまでなく、間近で平面的なのですが、左右にかなりの広がりがあるため、個々の音像の間が離れていて、混雑することがありません。
左右に広いということは、音像が前方のステージ上にフォーカスする感じは出せないので、ピアノのソロ演奏ではちょっと散漫というか、まとまりのない感じはあります。しかし、複雑な楽曲でも見通しが良いため、たとえば高解像なIEMイヤホンで聴いていても大味にならず、楽曲の細部まで分離できるメリットがあります。
音色に注目すると、金属的な倍音やアタックのメリハリといった表面的な質感が強調されるため、質量や実在感が若干不足しているように思います。低音側も厚い和声よりもアタックの高次倍音が強調されるため、迫力があり、弾むような鳴り方をするのですが、厚く伸びる重低音などでは薄く感じます。
楽器全体を形成する音像がくっきりとフォーカスするというよりは、個々の音色の表面質感を追っている感じなので、もうちょっと実在感や芯の太さを期待している人は別のアンプを選んだ方がよいかもしれません。このあたりは好みがわかれるところで、両立するのは高級アンプでも困難です。すでに聴き慣れた楽曲で、細かな質感まで耳で拾いたいという人ならMUB1はおすすめできると思います。
このような質感重視のサウンドはUSBドングルDACではよくある傾向ですが、それらの多くはバスパワー電源の不安定さに由来するのか、特定の帯域が捻れたような変な違和感や、浮足立ったような不安定さがあるものの、MUB1はそういった不具合は起こらないのが優秀です。つまりドングルDAC的なサウンドにおける最良の回答と言えるかもしれません。
次にデジタルフィルターの効果を確認するために44.1kHz・16bitの音源を聴いてみました。
Cellar LiveレーベルからJoshua Bruneau 「Sayin' Somethin'」です。最近では珍しいくらい潔い三管のハードバップでリーダーBruneauのトランペットに、トロンボーンはSteve Davis、サックスCory Weeds、リズムはHazeltine、David Williams、Farnsworthという死角のないバンドです。
録音は2019年のヴァンゲルダースタジオで、全体的に響きが多めで古臭い印象があるもののノリの良い雰囲気が楽しめます。
![]() |
| HS1697Ti |
ジャズを聴いていると、UE RRなどのマルチBA型イヤホンでは、MUB1は他のアンプと比べてやはり重さや勢いが物足りないため、そのあたりはダイナミック型イヤホンで補うのが良いです。IE600やFinal A5000、とりわけAcoustune HS1697Tiとの相性が良く、ドラムのズシンと当たる体感が活きてきます。
44.1kHz・16bit音源なので、MUB1のデジタルフィルターを切り替えて聴き比べてみたところ、個人的にはLL Fastが一番スムーズで良い感じでした。普通のFastを選んだ方がドングルDACっぽいキラキラした艶っぽさは出ます。
基本的にどのフィルターでも悪くないのですが、NOSモードだけはどうしても好きになれません。NOSらしい素朴な荒っぽさがジャズバンドとの相性が良いかと期待したのですが、むしろ音楽とは関係無い部分でギラギラしたエッジ感が強調されるだけで、このアルバム以外で色々試しても、どれも上手くいきません。あって損する物でもないので、ネタ的にたまに使うくらいが良いようです。
そんなわけでフィルターはLL Fastに戻してじっくり聴いてみたところ、ダイナミック型イヤホンでジャズを聴く場合、多くのアンプでは押しが強すぎて聴き疲れてくるので、その点ではMUB1の軽めで横に広い描き方は悪くないです。
私の場合は解像度よりも生楽器のリアルさや実在感を求めているため、ドングルDACからAK PA10のようなブースターアンプを通す方が好きなのですが、それではせっかくの情報量が損なわれてしまう、でもドングルDAC単体だと駆動力不足と感じる人は多いと思いますので、その絶妙なニッチを埋めるのにMUB1は有用だと思います。
他のDACアンプ候補を見ると、価格的やスペックで近いのはiFi Audio xDSD Gryphonでしょうか。2021年発売なので、頻繁にモデルチェンジを行うiFiとしてはずいぶん息が長いモデルです。
iFiは相変わらずTIのDSD1793を中核に置いた独自のサウンド設計を貫いており、賛否両論あるものの、iFiらしいサウンドというイメージづくりには貢献できているため、モデルごとにD/Aチップなどの回路全体をコロコロ変えるメーカーよりも筋が通っていると思います。MUB1と比べると、管楽器など音の激しさや熱量みたいなものはiFiの方が優勢です。特にポータブル用途で考えるなら、騒音下で勢いよく音楽を楽しみたい、ドラムやベースのリズムを体感したいというならiFiです。せっかくのMUB1の解像感も静かな環境でないと活かせません。
他には、Chord Mojo 2もライバルになりそうです。Bluetoothやバランス出力など機能面ではMUB1の方が有利ですが、サウンドではやはりChord特有の魅力というのがあります。ドンシャリを強調せず、一音ごとの繋がりが流動的でオーガニックに感じられるあたりはMojo 2の得意とするところです。特に派手目でパンチの強いダイナミック型ヘッドホン・イヤホンはMojo 2と合わせることで聴きやすく仕上げるのが良いです。そんなMojo 2ですが、個人的にはやはりHugo 2などChord上位機種との格差を意識してしまうため、そこまで乗り気になれません。その点MUB1は逆にドングルDACの究極系として、そのサウンドを求めているなら、それ以上は望めないというメリットがあります。
S/PDIF出力
MUB1は独立したS/PDIFデジタル出力端子が用意されており、同軸・光両対応で、公式スペックで192kHzとDoP64と書いてあるので、そちらの方も確認してみたいと思います。
実際に使ってみたところ、PCM 352.8kHzとDoP128、さらにDoP256まで出力してくれたので驚きました。ここまで出してくれる機器はこれまで遭遇したことがありません。
ここまでくるとS/PDIF本来の規格を遥かに超えているため、受信できる機器も限られてきますし、同軸ケーブルもそこそこ高速なものが必要になるので、自己責任になります。
![]() |
| PCM 352.8kHzは再生できました |
![]() |
| DoPのDSD128は再生できました |
![]() |
| ChordだとDoPのDSD256は読めないようです |
正式にPCM 352.kHz・DoP DSD256対応とされているDACは存在しないと思いますが、少なくともChord DaveやQutestではPCM 352.8kHz・DoP128まで正常に認識して、しっかり音楽が鳴ってくれます。
そんなわけで、USB-S/PDIFのD/Dコンバーターとして有用そうなMUB1なので、S/PDIF信号の品質も調べてみようと思います。
ハイエンドな据え置きUSB DACでも、実はショボいUSB入力回路を搭載しているせいで、S/PDIF入力を使った方が音が良いなんてモデルもよくあります。そんなときUSB-S/PDIF変換のD/Dコンバーターを間に挟むと良い結果が得られたりします。
![]() |
| 自作ケーブル |
MUB1はS/PDIF出力が3.5mmなのが厄介ですが、幸いTRSでTが信号、Sがグラウンドというアサインなので、自作で同軸ケーブルを接合するのが楽なのは嬉しいです。他のメーカーのDAPではTRRSが多く、組付けが厄介ですしクロストークも心配になります。
今回は75Ωの12G-SDI同軸ケーブルを使って、終端に落として測ってみました。
| 75Ω同軸ケーブルで192kHz再生 |
| 75Ω同軸ケーブルで352.8kHz再生 |
| 75Ω同軸ケーブルでDoP256再生 |
S/PDIFデータ信号のジッター値を確認してみると、立ち上がりもそこそこ綺麗で、352.8kHzやDoP256(つまり768kHz)でも意外としっかりしています。
ちなみにMUB1を充電・給電しながら確認してみたところ、ジッターの性質は若干変わるものの、数値的に劣化するレベルでは無かったので、据え置きD/Dコンバーターとして安心して使えそうです。
| 優れたD/Dコンバーターで192kHz再生 |
MUB1のS/PDIF信号品質は十分良いですし、実用上不満も無いと思いますが、オーディオマニアとしてもっと追求するなら、たとえば別のメーカーの据え置きD/Dコンバーターを使ってみたところ、S/PDIF品質はこれくらい良くなります。
MUB1と比べてアイパターンが明らかに広く、192kHz再生時のトータルジッターがMUB1の2.5nsに対してこちらは0.21nsとほぼ10倍優れており、クロック抽出のTIEも374psから62psへと大幅に改善しているため、DACによってはPLLの挙動に差が出るかもしれません。
| 75Ω同軸でないケーブルで96kHz再生 |
| 75Ω同軸でないケーブルで352.8kHz再生 |
MUB1に限った話ではありませんが、S/PDIFを使う場合は、機器の性能以上にS/PDIFケーブルの性能が極めて重要です。
MUB1は3.5mm TRSのTとSなので、正式な同軸デジタルケーブルを持っていなくても、3.5mm→ステレオRCAラインケーブルの左チャンネルを使えばS/PDIFが出力できるのが便利ですが、デジタル用ではないアナログラインケーブルを使うと上の画像のようになってしまいます。
右上のアイパターンで理想的には四角であるべきところ、96kHzでもかなり劣化していますが、352.8kHzではもはやぐちゃぐちゃです。ケーブル内の信号反射が多すぎて、ケーブルの長さに比例する階段状の波形になっているのがわかります。それでも音は鳴るかもしれませんが、PLLはフラフラするでしょうし、あまり好ましくありません。
もちろん受信側(つまりDAC)のジッター対策設計が優れていれば音は鳴ると思うので、それ以上に音質を追求する人のみ気にするべきかもしれません。
注意点として、私の経験上、高価なオーディオグレードを称するデジタルケーブルほど高速デジタル伝送への対応が怪しいというか、デジタル用としてそもそもテストしていないメーカーが多い気がします。たとえばS/PDIFは差動信号ではないのに、見た目が高級っぽいからというだけの理由で編み込みにしたり、太いOFC線を使ったせいで、容量負荷が高くなってしまい高周波が減衰するなど、アナログとデジタルケーブルの設計理念を混同している傾向が伺えます。値段ではなく、ちゃんとした75Ω高速同軸ケーブルを使うべきです。
同様に、高級っぽいからという理由だけでAES/EBUを使っている人もいますが、これは20mなどの長距離伝送用には良いものの、同軸構造ではないので、1‐2m程度の短距離なら同軸S/PDIFの方が信号品質の面では有利です。
また、絶縁のためには同軸よりも光ケーブルの方が良い場合がありますが、こちらもファイバーの品質やDACの受光部による影響が大きいなど、どちらにせよS/PDIFはデジタルといえど非同期ではないので、最善を尽くそうと思うと難しいです。
Bluetooth接続
MUB1の大きなセールスポイントとしてBluetooth接続があります。
私が普段使っているテクニクスなどのワイヤレスイヤホンと比べると、LDACで聴いていて、本体を動かした時に若干音飛びが多いくらいで、バッグにスマホやDAPを入れてジャケットのポケットのMUB1に飛ばす程度なら問題なく、音質面でも実用に十分耐えうると思います。
| Bluetooth受信時のフィルター挙動 |
ところで、MUB1をBluetoothで使う場合もデジタルフィルターを選べるので、どういう挙動になるのか気になって確認してみたところ、案の定おもしろい事になっています。送信機はHiby RS6 DAPを使ったのですが、Bluetooth出力は一律サンプルレート変換・圧縮されるので、コーデックや周囲環境の電波品質によってMUB1側のデジタルフィルターの挙動が大きく変わります。
上の画像の左側はLDAC、右側はSBCで接続したものです。一番上はMUB1のフィルターをNOSモードにして、44.1kHz・16bitのサイン波を再生したもので、LDACだと送信側ですでに96kHzにオーバーサンプルされるのでNOSでもスムーズな波になってしまうのに対して、SBCだと44.1・48kHzで送られるので、NOS特有の階段波形が確認できます。
中段は44.1kHz・16bitのパルス波形をNOSで再生したもので、左のLDACを見ると、LDACが(というかAndroidが)前後対称オーバーサンプリングフィルターを通しているのかわかります。SBCの方はサンプルレート変換とリアルタイム圧縮が行われるため、パルスがぐにゃぐにゃと気持ち悪い動きをします。
さらに下段は同じパルス波形にで、今度はMUB1のLow Latency Fastフィルターを選択したものです。LDACは送信時に前後対称フィルターを通しているので、MUB1のフィルター効果は無視され、一方SBCだとMUB1のオーバーサンプル効果が反映されるのでLow Latency Fastの前後非対称フィルターになっています。
どちらにせよ非可逆圧縮で通信しているので、あれこれ言うものでもありませんが、こうやってフィルターという形でコーデックの差を実感できるのも面白いです。
| Bluetooth |
ちなみにMUB1はBluetooth受信時にもS/PDIF出力が可能なので、据え置きシステムに組み込むのに便利かと思ったのですが、残念ながらS/PDIF信号はかなり汚いです。USB接続での画像と比べてみれば一目瞭然ですが、まずビットパーフェクトではないのは当然ですが、それ以上にクロックのゆらぎがかなり大きいです。
身近なスマホやDAPで試してみたところ、楽曲のサンプルレートに関わらず、SBCだと44.1kHz、LDACだと96kHzのS/PDIFとして出力されました。上の画像は96kHzファイルをLDACで再生した時のものです。
アイパターンは一応開いているので同期は可能で、音も鳴りますが、USB接続から96kHzのS/PDIFを出した時と比べると、PLLクロック抽出のTIEが16倍も劣化しています。
総じてBluetoothはやはり利便性のための規格なので、オーディオファイル的な完璧さを求めるのは筋違いです。昨今はBluetoothでもロスレス伝送ができるコーデックもちらほら現れていますが、同じ通信帯域で扱うデータの量が増えるのですから、接続安定性(音飛びなど)が問題になりますし、たとえば電車の駅などの密集地帯で多くの人が高音質コーデックを使っていたら、それだけ混線による接続不良も増えます。
また、LDACやaptX Adaptiveなど現在主流のコーデックは伝送の状況に応じてビットレートを可変するタイプなので、たとえ静かなリスニングルームでも、身の回りのワイヤレス機器など、目に見えないBluetooth電波の混雑具合によって音質が臨機応変に変わってしまうので、正当な試聴評価が難しくなります。たとえばaptX Adaptiveなら279~420kbps、LDACは330~990kbpsで可変するため、どちらが音が良いかというのも使用環境によって変わります。
おわりに
今回はQuloos MUB1を試聴してみたわけですが、個人的にこういったポータブルUSB DACアンプというジャンルが好きで、有名なiFi Audio micro iDSDやChord Mojoシリーズなどを筆頭に、まさしくポータブルオーディオの真髄だと思っています。
DAPと比べると、タッチスクリーンやAndroid OSの開発に余計な労力を取られず、純粋に「D/A変換とヘッドホン駆動」というコアな部分に専念できるため、オーディオメーカーの真価が発揮できるジャンルだと思います。
また近頃はスマホアプリで音楽を聴く人が増えたので、DAPよりもUSBドングルDACが流行っており、このMUB1もその流れに沿っています。簡素なドングルDACは卒業したいけれど、あまり大きなDACアンプは持ち歩きたくないという人に最適ですし、とくに出力に関しては、USBバスパワー給電に依存するドングルDACと比べて、内蔵電池式のMUB1の方が圧倒的にパワフルです。
そんなMUB1は7万円台のChord Mojo 2あたりと比べて音質面でも十分健闘していると思いますし、バランス出力やS/PDIF出力、Bluetooth入力などのギミックが豊富なので、色々と使えそうです。ゲイン設定で音質が結構変わるので、試聴の際には切り替えて聴き比べてみることをおすすめします。
ここからさらに音質を追求するなら、DAPとDACアンプのどちらを選んでも10万円は軽く超えてしまうか、他の中国メーカーを見ても、たとえばXDuooなど、サイズがかなり大きくなってしまうので、コンパクトに収めたいなら意外とライバルが見つからないニッチな存在かもしれません。
私の個人的な要望としては、今回MUB1を使ってみて、Quloosというメーカーの基本的な性能や機能が優秀である事は確認できたので、同じコンセプトでDACやヘッドホンアンプにもうちょっと独創性を盛り込んだ10万円クラスのモデルなんかも見てみたいです。
















