少し前にヤマハのヘッドホンYH-5000SEについての感想を書いたのですが、今回はそれと同じシリーズのヘッドホンアンプHA-L7Aを聴いてみました。
|
| YH-5000SE+HA-L7A |
約44万円のDAC内蔵ヘッドホンアンプで、YH-5000SE専用というわけではなく、他社のヘッドホンでも使えるモデルです。
ヤマハのヘッドホン
今回紹介するヘッドホンアンプHA-L7Aは、本来はヤマハYH-5000SEヘッドホンとのセットで使うべく開発されたモデルなのだと思いますが、私がYH-5000SEを試聴した時点ではアンプの方が手に入らず、ヘッドホンのみを借りて、身近にあるアンプで鳴らしました。
|
| 当時はChord DAVEやiFi Pro iCAN Signatureで鳴らしました |
それから数ヶ月が経ち、2023年末にHA-L7Aアンプをようやく借りる事ができたので、今回これらを合わせて試聴することができたわけです。
とは言っても、ヘッドホンが46万円、アンプが44万円なので、セットで買うと100万円近いシステムになってしまいますから、ヘッドホンかアンプのどちらかのみ興味があるという人も多いだろうと思います。
ただし、ヤマハとしても、せっかく優れたハイエンドヘッドホンを開発したわけですから、客先で中途半端なアンプで鳴らされても不本意でしょう。イベントや店頭デモなどでヘッドホンのポテンシャルを最大限に引き出すためにも、それにふさわしいハイエンドなアンプが必要になります。その点ではヤマハにとっても失敗が許されない渾身の力作という期待が持てます。
今回はヤマハYH-5000SEヘッドホンだけでなく、他のヘッドホンやイヤホンも鳴らしてみて、純粋にDACアンプとしての性能を体験してみたいと思います。
デザイン
HA-L7Aアンプの写真を見ると、ハイエンド機らしく本体と電源ユニットがセパレートになっており、シャーシの共振対策や、電源からの電磁ノイズの影響を抑えるなどの努力が伺えるわけですが、いざ実物を触ってみると、実は左右が分離できない連結シャーシである事に驚きました。これはかなりユニークなデザインです。
|
| 一見セパレートですが |
|
| 実は合体しています |
では、セパレートデザインはただのハッタリ、見掛け倒しなのかというと、そうではなく、公式サイトで内部構造の写真を見ると、たしかに電源基板は独立しています。つまり電磁シールドや剛性アップ、トランスの振動分離といった、セパレートにするメリットは実現した上で、モジュール間をつなげる外部ケーブルを必要としないように(ケーブルも電磁ノイズの影響を受けるので)、あえて二つのシャーシを内部で合体させたようなデザインを選んでいるようです。
|
|
| ヤマハ公式の内部展開図 |
あらためてHA-L7Aを見ると、ただ奇抜というだけでなく、企画構想の段階から思い切りが必要なデザインだという事が伺えます。というのも、とくに日本企業のオーディオ製品を見ると、ヘッドホンアンプであっても、未だにフルサイズオーディオシャーシのフォームファクターにこだわり続けているメーカーばかりです。まるでプリメインアンプやCDプレーヤーかのように、オーディオラックに収まるような長方形デザイン、操作系は全部フロントパネル、天板はただの板、というデザインが一般的です。
しかしヘッドホンというのは、ケーブル長さの制限もあり、現実的にはオーディオラックではなくてデスクトップで使われる事が多いわけですから、このHA-L7Aのような卓上デザインの方が理に叶っています。
ようするに、ピュアオーディオ評論家ではなく、実際にヘッドホンをメインに毎日利用する人の使い勝手を第一に考えたデザインだという考えが伝わってきます。
|
| 電源ユニット |
|
| 黄色いアクセント |
電源ユニットでひときわ目立つ円筒は、巨大な電解コンかと思ったら、公式の展開図を見ると中にはトロイダルトランスが入っており、その下にデジタル周りの電源やコンデンサー類の基板があるようです。
黄色いリングの部品はなにか機能があるわけではなさそうです。ボリュームエンコーダーの下地も同じ黄色になっており、黒一色で退屈させないためのアクセントのようです。
|
| 操作系にも黄色いアクセント |
|
| ヘッドホン出力端子 |
メインユニットの方は、前面にヘッドホン出力端子、天板にディスプレイと操作系ボタンが集約されています。ヘッドホン出力は4ピンXLRバランス、4.4mmバランス、6.35mmシングルエンドが用意されています。
天板との隙間を空けることで立体感を与えると同時にシャーシパネルの厚み(つまり振動対策)を強調しているあたりや、電源ユニットの放熱フィンのようなパワフルなイメージと、ヘッドホン出力周りのスッキリしたピュアーなイメージのコントラスト、ボタンのレイアウトの統一感など、このあたりの洗練されたデザインはさすがヤマハだなと関心します。唯一のYAMAHAブランドロゴが、左右ユニット結合部分の銀色プレートのみというのもカッコいいです。こういうロゴや注意書きなどを社内デザインルールとかで大きくプリントして一気にダサくなってしまうのが日本のメーカーにありがちです。
全体的なデザインは、なんとなく90年代の電子機器を彷彿とさせるようなレトロフューチャー感があります。ハイエンドオーディオというよりは、90年代のシンセモジュールや映像機器など、日本の電子機器メーカーの元気が良かった頃を思い出します。最近はハードウェアシンセとかもブームになっていますし、若い人にも新鮮に見えると思うので、こういうデザインも良いのではないでしょうか。
ヘッドホンオーディオというのは、古くから中国メーカーなどを中心に自作キットやガレージメーカー的な側面が強いため、このHA-L7Aのように、シャーシやノブの素材や表面処理の質感、ボタンの押し心地など、ちゃんとした産業デザインを体現出来ている製品を手にするのは珍しいです。他のメーカーではSimaudio Moon 460HADなんかを思い出します。HA-L7Aはそういった工業製品としての完成度に価値を感じる人にも魅力的に映るアンプだと思います。
|
| 背面パネル |
背面パネルのレイアウトや組み付け、印刷などもとても高品質です。デジタル入力はUSB-B、光と同軸S/PDIF、アナログライン入力はRCAのみ、アナログ出力の方はRCAとXLRがあり、スイッチで固定と可変ボリュームを切り替えできるようです。ファームウェア更新のためのUSB-A端子もありますが通常は使いません。ところで、最近の据え置きDACとしては、ネットワーク接続に対応していないのは珍しいと思いました。別途ストリーマーを出す予定なのでしょうか。
電源ケーブルはIECソケットですが、トランス電源なのにアースピンが無いのは意外です。そうなると他の機器とのケーブル接続環境(つまり接地経路)で音が結構変わるかもしれませんので、今回の試聴ではポータブルDAPからUSB-OTG接続のみで、できるだけ浮かせて使いました。
あらためて公式の内部展開図を見ると、コンパクトなシャーシに収めるために、かなり凝った作りになっています。デジタル回路基板や入出力周りは底面、ヘッドホンアンプ回路基板は天板の方に固定されて、上手いことサンドイッチされる立体構造です。このあたりも大手メーカーだから出来る高度な設計です。
|
|
|
公式サイトから、天板側のオーディオ基板 |
ヘッドホンアンプ基板にはニチコンFGなどオーディオグレードのコンデンサーや、あえてスルーホールの抵抗を縦置きにしているなど、ベテランのこだわりが感じられます。あの青い丸いコンデンサーを見るとヤマハっぽさを実感する人も多いでしょう。
インターフェース
HA-L7AはDACを内蔵しており、さらにヤマハ独自のDSP空間エフェクトも搭載しているため、操作系のボタン数も多いです。ちなみにリモコンも同梱しているのですが、今回は使いませんでした。D/AチップはES9038PROだそうです。
DSPエフェクトに関しては、Sound Field Modeセレクターで切り替えるようになっており、Pure Directボタンを押せば全体をバイパス出来ます。
こういった機能面はピュアオーディオというよりも、ヤマハが得意とするホームシアターAVアンプのようなイメージが強いです。そのため、HA-L7A発表時のコメントなどを見ると、ピュアではなくAVアンプっぽいからと敬遠する人も少なくない印象を受けました。
|
| DSPなどはAVアンプっぽいです |
実際のところ、スピーカーの場合では、ピュアオーディオ用アンプと比べてAVアンプの方が格下に見られがちなのには、れっきとした理由があります。
まず、映像処理やHDMI入出力用の回路に余計なコストがかかっています。さらに、2chステレオであれば左右二つのアンプ回路が入っているわけですが、7.2chのAVアンプだと九個のアンプ回路を搭載しなければいけません。つまり、同じ値段だと1チャンネルごとの回路にかけられるコストが低いわけです。単純計算では、ステレオアンプが20万円なら、7.2chのAVアンプで同じクラスの回路を搭載するとなると90万円になってしまいます。
このように、同じ価格帯で見ると、ステレオアンプとAVアンプでは中身に明確なコスト配分の差があるのに対して、ヘッドホンアンプの場合はどのみち2chステレオですし、映像入出力もありませんから、HA-L7AがAVアンプっぽいという先入観で敬遠する理由はありません。
逆に、HA-L7AをAVアンプ系製品として見るのであれば、HDMIやUSBによる12ch(7.1.4ch)などの多チャンネル入力に対応していないのは残念です。DACアンプ回路自体はヘッドホンの左右2chのみで済むので余計な物量コストはかかりませんし、せっかくのDSP演算を本物のマルチチャンネルサラウンド音源で体感してみたかったです。
|
| 画面表示いろいろ |
メニューで設定画面を操作してみると、ヘッドホンアンプのハイ・ローゲイン切り替えや、DACデジタルフィルターといった一般的なものから、クロックPLL範囲制限といったマニアックなものや、大手メーカーらしくボリューム数値の上限設定なんかもあります。
ちなみにファームウェアは1.01でした。あとPure Directモード選択時はエフェクト関連がNot Availableと表示されます。
|
| これだけは面倒でした |
操作性に関しては、こういうのに慣れている人なら戸惑うことはないと思います。個人的に一つだけ不満点があるとすれば、色々なヘッドホンを付け替えるたびに、たとえばXLRから6.35mmなど、いちいちOutputボタンを押して出力端子を選択しないといけないのは面倒です。
また、内部写真を見ても、出力切り替えのためにリレーがあるのもピュアオーディオ的に嫌いな人もいるだろうと思います。切り替えるにしても、ここまでハイテクなら、端子の接続検知で自動的に切り替えても良かったと思います。使っていて気になったのはそれくらいです。
|
| ボリューム調整 |
ボリューム調整に関しては、画面上にも数値で表示されるのはありがたいです。ヘッドホン聴き比べなどで、毎回ぴったり同じ音量に合わせたい時などに便利です。
|
| 再生中 |
実際に音楽を再生中にステータス画面を見るとこんな感じです。最新のDACだけあってPCM352.8kHzやDSD256なども問題なく再生出来ました。
出力
いつもどおり0dBFSの1kHzサイン波ファイルを再生しながらヘッドホン負荷を与えて、歪みはじめる(THD > 1%)最大出力電圧を測ってみました。
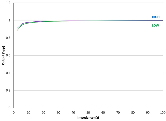
ヘッドホン出力は設定画面でHIGH・LOWに切り替えることができます。HA-L7Aのユニークな点として、バランスとシングルエンド接続で全く同じ出力が得られる設計になっているようです。上のグラフを見ても双方の線がピッタリ重なっていましたし、実際に音を鳴らしても同様です。
公式スペック上でも、バランスとシングルエンドのどちらも32Ωでの最高出力が1000mWと書いてあり、実測でも1400mW程度です。ちなみにヤマハの1000mWというのはTHD < 0.01%での数字で、私のはTHD < 1%まで許容しているので大きく現れます。
バランスとシングルエンドで出力が同じということは、端子がバランス用なだけで実際はシングルエンドなのかと疑いましたが、信号はちゃんとホットとコールドの差動で出ているようです。バランス接続には高出力を期待するユーザーも多いと思うので、なぜわざわざこのような設計にしたのか不思議です。さらにシングルエンドの方もグラウンドがシャーシから浮かせてあるので、なんらかの音質設計上の判断なのでしょう。
なんにせよ、32Ω以上のヘッドホンなら20Vpp以上の出力電圧が得られるので、ほとんどのヘッドホンを問題なく駆動できるだろうと思います。
同じテスト信号で、無負荷時にボリュームを1Vppに合わせてから負荷を与えていったグラフです。
据え置きヘッドホンアンプとしては極めて珍しく、横一直線で低インピーダンスまでしっかりと定電圧駆動できているのは素晴らしいです。出力インピーダンスは0.2Ω程度です。
さらに、バランスとシングルエンド、HIGH・LOWゲインモードのどれも出力インピーダンスが非常に低いので、単純にアッテネーターで出力を絞っているのではなく、IEMイヤホンなども正確に鳴らせるよう考慮されている、優れたアンプ設計だと思います。
手近にあった最近のアンプと比較してみると(全てバランス出力)、HA-L7Aはそこそこ穏便な出力設計ということがわかります。dCS Linaとはずいぶん大きな開きがありますし、FiioのポータブルDAP M17もかなりパワフルです。
このあたりは、高価なアンプなのだから無尽蔵に高出力であってほしいという人がいる一方で、現実的にはそこまでの大音量だとボリューム調整に不便ですし、出力より音質重視で選びたい人もいますから、これだけを見て優劣は決められません。
ただし、最近は32Ω以下の低インピーダンスで低能率なヘッドホンが増えてきていますから、そのあたりで十分なヘッドルームが得られるかの確認は必要になります。
これらのアンプでボリュームを1Vppに合わせたときの出力の落ち込みです。やはり最近の据え置きヘッドホンアンプはどれも8Ω以下まで定電圧駆動を維持しているので、一昔前のモデルと比べると隔世の感があります。
ポータブルのFiio M17のみ、出力インピーダンスがバランスで2Ω付近と結構高めです。IEMイヤホンにはM17のようなポータブルDAPの方が適していると思っている人は注意が必要です。(その点ではM17よりもM15Sの方が優秀です)。
サウンドフィールドモードの効果
一般的なヘッドホンアンプとして使う前に、このアンプの特色であるSound FieldモードセレクターでDSPによる音響を試してみます。
ヘッドホンはヤマハYH-5000SE、USBトランスポートはHiby RS6 DAPをOTG接続しています。
|
| CONCERT HALLモード |
サウンドフィールドモードは、Straight、Cinema、Drama、Music Video、Concert Hall、Outdoor Live、BGMの七種類から選べます。
Straightはピュアダイレクトモードと同じような聴こえ方です。ピュアダイレクトの方が良いのでしょうけれど、実用上そこまで違いはわかりません。
色々と試してみたところ、サウンドフィールドモードの効果はかなりわかりやすく実感できます。モードごとの聴こえ方も大幅に異なり、それぞれ名前どおりの雰囲気が得られます。
単なるイコライザーではなく、周波数ごとの反響の量や時間差などをDSPで計算しているため、ヘッドホン本体よりも外に広がるような立体空間の演出が体感できます。とりわけYH-5000SEヘッドホンの音響特性をベースにチューニングしている事が実感でき、ありきたりなエフェクト効果を上乗せしているというよりは、ヘッドホンそのものの鳴り方を変えているような感覚があります。
ちなみに背面のライン出力から出す場合はサウンドフィールドモードの効果は無く、DACからダイレクトな音が出力されます。あくまでヘッドホンリスニング専用の機能というわけです。
|
| ソニーMDR-MV1 |
せっかくなので、空間オーディオの音響演出が得意なソニーMDR-MV1を鳴らしてみました。こちらもかなり効果的で、とくに反響が頭の後ろまで周るような感覚はYH-5000SEよりもMDR-MV1の方が強調されます。
YH-5000SEは無理の無い自然なバランスを維持しており、一方MDR-MV1の方が各モードごとの違いが強調される感じです。どちらも悪くないので、ソニーもこのようなDSP搭載ヘッドホンアンプをMDR-MV1とセットで発売すれば良かったのにとつくづく思います。
ところで、このサウンドフィールドモードというのは、生粋のヘッドホンユーザーにとっては余計なギミックという印象があるかもしれません。しかしこれについては、むしろ考え方を逆転すべきだと思います。
普段から音楽、映画、ゲームなどをスピーカーで鑑賞している人にとって、むしろヘッドホンで聴く方が強い違和感があります。スピーカーで聴いている時のような部屋に広がる空間音響や左右チャンネルのブレンドが全く無い、ダイレクトな音源が耳穴に入ってくるわけです。とくにクリエーター側がスピーカーを前提にサウンドを仕上げているのであれば、ヘッドホンで聴く事自体が不自然な体験になるわけです。
サウンドフィールドモードというのは、そのようなヘッドホン特有の違和感を大幅に軽減してくれるので、スピーカーとヘッドホンの両方を使っているベテランのオーディオマニアほど、そのメリットに理解を示すだろうと思います。
個人的に、サウンドフィールドモードについての不満が一つだけあります。「Cinema」や「Drama」など色々なシーンが用意されているのに、もっとオーディオファイル寄りのモードが一つもありません。
具体的には、たとえばハイエンドオーディオのリスニングルーム、もしくはレコーディングスタジオのマスタリングルームを再現するようなサウンドフィールドが欲しいです。
私を含めて、良いヘッドホンを使っている人の多くは、自身のリスニングルームのスピーカーの鳴り方、もしくはそれ以上の体験を求めているのではないでしょうか。
|
|
| ヤマハが誇るフラッグシップ5000シリーズ |
ヤマハ自身もC-5000、M-5000、NS-5000という超弩級フルシステムを販売しており、YH-5000SEもその一員なので、たとえば、ヤマハ本社の最高級デモルームで5000シリーズのフルシステムを鳴らしている環境を再現するサウンドフィールドモードがあればよかったと思います。
もしくは、私が普段使っているSPL Phonitorのように、ニアフィールドモニター的なクロスフィードのモードもあれば良かったです。なぜなら、私の場合はクラシック音楽を聴くのがメインなので、そもそも録音自体にコンサートホールの音響が収録されているわけで、サウンドフィールドモードで「Concert Hall」を選んでしまうと、二重にホール音響が重なってしまい違和感があります。もちろん「Outdoor Live」モードの屋外ロックフェス的な響きで聴きたいとも思いません。
Pure DirectやStraight以外で一番まともに使えたのが、意外と「Music Video」モードだったりします。それでもオーディオのリスニングルームの感覚とは違い、もうちょっとギラギラした感じです。逆に「BGM」モードはレンジがかなり狭く、遠くで鳴っているような印象です。
そんなわけで、サウンドフィールドモードはたしかに効果的ではあるものの、むしろ効果が過剰すぎて使い所が難しい機能だと思います。
選択肢の中にリスニングルームやマスタリングスタジオのモードがあったなら、もっとオーディオマニアのターゲット層に注目されていたかもしれないと思うと惜しい気がします。DSPならなんとでも言えるので、ハッタリでもNS1000やNS10Mモードとかがあれば年配の客層にもウケそうです。
ヘッドホンアンプの音質
ここからはPure Directモードで一般的なヘッドホンアンプとして使ってみます。
バランス・シングルエンドともに音量には十分な余裕があるので、どんなヘッドホンでも問題なく鳴らせると思います。
|
|
| Amazon |
ジャズの新譜で、Criss CrossレーベルからMike Moreno「Standards from film」を聴いてみました。
タイトルどおり映画由来の有名スタンダード集ですが、リーダーのギターは結構歪ませたりエフェクトを多めにしているので、凡庸なジャズギターとは一味違った楽しみがあります。さらにピアノにSullivan Fortnerが参加しており、彼の飛び跳ねるようなトリッキーな演奏がギターの響きを切り裂くような爽快さを加えてくれています。
|
|
| Amazon |
数年前のアルバムになりますが、せっかくヤマハということで、ヤマハCFXグランドピアノでの演奏で個人的に格別に愛聴している、Evidence ClassicsからClément Lefebvreのラヴェル集も聴いてみました。
世間に溢れているラヴェルのピアノ作品集の中でも(今数えたら38枚も持ってました)この一枚を聴く機会が圧倒的に多いです。フランソワからケフェレックまで往年の名盤が多い中でも、なぜかこればかり聴いているのか自分でも不思議に思うのですが、整然とした演奏と楽器とホールの音色の調和が素晴らしく、自分にとって録音芸術の完璧に限りなく近いからだと思います。ヤマハグランドピアノのサウンドを体感するにも最適の一枚です。
|
| YH-5000SE |
まずYH-5000SEを鳴らした時の印象は、派手なドンシャリとは真逆の、落ち着いた描写といった感じです。周波数特性のフラットさはもちろんのこと、ハードなジャズ演奏を聴いても潰れたり破綻する気配がしません。ピアノの音色にも過剰に色艶を乗せたり倍音を響かせたりせず、それらは録音とヘッドホンの方に委ねるような、比較的モダンな音作りだと思います。
つまり見かけ上の派手さや解像感だけに注力するのではなく、様々なテスト音源を使って入念な試聴を繰り返し、魚の骨を取り除くように、描写を追い込んでいったことが伝わってきます。ただ回路図を引いただけでは実現できない筋の通った熟練の開発力を実感します。
逆に、ネガティブな言い方をするなら、多くの人の手を通ったような角の立たない仕上がりという印象も受けます。これといって際立った特徴が無いというか、衝撃的に一目惚れするようなサウンドではありません。
このあたりは、小規模なメーカーの方が開発者の個性が際立った製品が作れるので、第一印象のインパクトとしては、それらに惹かれるのも理解できます。しかし、そのような個性が強い製品を買ってしまうと、特定の楽曲やジャンルでは優れた相性を発揮できても、色々な状況で使ってみると弱点が目立ってくるようになり長続きしません。
ニッチなマイナーブランドのモデルを頻繁に買い替えているオーディオマニアをたまに見ますが、そういった一目惚れして弱点に後々気づくようなループに陥っている気がします。その点HA-L7Aは第一印象こそ地味でも、将来的に買い替える必要性も感じられず、長期的に活用できるような製品です。
サウンドをもうちょっと詳細に把握するには、他のアンプと比較してみるのが手っ取り早いです。
|
| SPL Phonitor xe |
まずはHA-L7Aの固定ライン出力からSPL Phonitor xeを鳴らしてみました(ベンチのスペースが足りなかったので上に乗せています)。私も自宅のメインシステムとしてPhonitor Xを使っているので、ずいぶん聴き慣れたサウンドです。
同じヘッドホンで聴いているとは思えないほど鳴り方が大きく変わり、SPLはとくに上下の広がりが大幅に拡張されます。自分の前方に、低域は床に広がり、中域は目前で音像を作り、高域は上空に広がるというようなピラミッド型の音場展開が体感できます。一方HA-L7Aは主にステレオの左右と前方遠くへの奥行きのみで立体感を表しており、上下の広がりはSPLと比べるとかなり狭いです。周波数帯ごとのばらつきが無く、どの帯域も均一に同じ平面から鳴っているという点では優秀ですが、なんとなく床や地面の安定感が無く、音楽全体が宙に浮いたような印象もあります。
|
|
Chord Qutest DAC |
次は逆にChord Qutest DACをHA-L7Aのアナログライン入力に接続して聴いてみます。
内蔵DACを使うよりもQutest DAC経由の方が中高域の艶っぽさや音色の風味が増して、とくに生楽器のソロ演奏とかではこちらの方が魅力的です。しかしHA-L7Aが得意とする奥行き方向での自然な立体描写が損なわれてしまう感じがして、一長一短といったところです。
HA-L7AはDSP回路が中核にあるので、アナログライン入力の信号経路がどのようになっているのか気になりますが(内部で一旦A/D変換されるのかなど)、ちゃんとQutest DACらしいサウンドが得られたので、十分実用的なようです。
|
| Fiio K9 |
DACアンプ一体型の人気モデルFiio K9と比べてみました。こちらは7万円くらいなので、ずいぶんな価格差がありますが、DACアンプという用途は同じですし、最大出力もむしろK9の方が高く、並べて比べてもサイズ感はそこまで大差ありません。
ちなみにK9 PROではなく、あえてK9を選んだのは、個人的にK9の方が音が好みだからです。K9 PROはちょっとギラギラしすぎて疲れます。
オーディオは、ある程度の価格を超えてからは趣味趣向の世界になる、なんてよく言いますし、HA-L7AとK9が意外と大差なかったり、好みの差で片付いてしまうのが心配だったのですが、いざ聴き比べると明らかな格差が実感できたので一安心しました。
HA-L7Aは上述のとおり左右と前方に奥行きのある描き方で、音楽体験に一歩離れた空間余裕を持たせているのに対して、K9は全ての音が近く、顔面に迫ってくるような余裕の無さを感じます。
スペック的には両者とも申し分なく(むしろK9の方が優れているかもしれません)、全ての音が明確に聴き取れるという点ではK9の方が有利だと思いますが、音楽鑑賞をじっくり楽しめる音作りとなると、HA-L7Aは一歩先を考えて作られています。
これは具体的に説明するのが難しいのですが、たとえるならデジカメに近いです。エッジの解像力や色域の正確さなど、テストパターンでカリカリの描画が得られるのを喜ぶ人と、もっと抽象的な雰囲気や色彩に魅力を感じる人に分かれます。
趣味を始めた頃はスペック性能の高さを求めていても、たとえば自分の子供など、撮りたい対象が定まってくると、肌の質感や、その場の雰囲気を落とし込める嬉しさが理解できるようになります。しかし、あまり深くのめり込むと、レトロ調や抽象芸術みたいな方向に行ってしまいがちなのも、オーディオとよく似ています。そんな中でHA-7LAはちょうどよいバランス感覚で作られています。
|
| Chord Hugo TT2 |
Chord Hugo TT2 + M Scalerとも聴き比べてみました。並べるとHA-L7Aのコンパクトさが目立ちます。
もうずいぶん聴き慣れたTT2ですが、HA-L7Aと比べると出音が意外と硬く、激しい鳴り方であることに驚きました。響きがパシャパシャするという意味ではなく、声や楽器の輪郭がくっきりと背景から描き分けられて、実在感が強調されます。一方HA-L7Aは、スタジオブース越しの歌手や、ステージ上のピアニストといった具合に、一歩離れた観客としての立場で聴いている感覚です。
ヘッドホンマニアならTT2のような生々しい音像の表現力に魅力を感じると思いますし、実際、安価なアンプでは味わえない凄みがあります。ヘッドホンリスニングというのは、空間表現という点ではスピーカーに敵わない部分があり、TT2はそこを無理に演出するのではなく、あえてヘッドホンの得意とする部分だけを引き出すような音作りです。
それと比べてHA-L7Aはヘッドホン特有のダイレクト感や中域の鮮やかさよりも、音場全体のバランス感覚を意識しています。普段TT2のようなアンプの鳴り方に慣れていると、HA-L7Aはメイン音像よりも音響全体を提示されて掴みどころが無く感じるかもしれません。これも先程のカメラの例にたとえると、ポートレートのようにくっきりと人物像を撮るのか、それとも人物を含めた情景全体を撮るのかといった違いです。
|
| Focal Utopia |
|
| Hifiman Arya Organic |
YH-5000SE以外のヘッドホンも鳴らしてみたところ、HA-L7Aと相性が良いヘッドホンと、そうでないものが明確に分かれました。
相性が良かったものの例としては、新旧Focal UtopiaやHifiman Arya Organicなどが挙げられます。
どちらも開放的で明るく、アタックが明確で、うまく鳴らさないと聴きづらくなるタイプのヘッドホンです。それぞれ描画力のポテンシャルは高いとは思うのですが、悪ノリするというか、アンプのクセにひっぱられがちで、ヘッドホンそのものよりもアンプのせいで聴き疲れしやすいです。
そのようなヘッドホンは、HA-L7Aと合わせることで一歩離れた余裕の中で精密で立体感のある奥行き表現が実感でき、普段はエッジの強さで覆い隠されがちなディテールを自然と聴き取れるようになります。
単なる厚くて眠いアンプというわけではなく、レスポンスの良さや透明感は維持したまま、Utopiaのようなピーキーなヘッドホンで起こりがちな不具合を未然に対処してくれているような設計者の配慮が伺えます。YH-5000SEも楽曲によっては高音が目立つ印象があるので、HA-L7Aとの相性が良いのも納得できます。
|
| HEDDphone |
|
| T60RP 50th |
一方、あまりうまくいかなかったのが、HEDD HEDDphone、Dan Clark Audio Aeon Noir、そして最近入手したFostex T60RP 50周年記念モデルなどでした。
ヘッドホンマニアならおおよそ想像がつくと思いますが、これらのようなゆったりした温厚なヘッドホンは、HA-L7Aだとさらに無難でメリハリが足りなく感じてしまうので、もうちょっと派手で鮮やかなアンプと合わせた方が良いです。
ちなみにT60RPの50周年記念モデルは通常版T60RPと同じようなマイルドなサウンドのまま、重厚な高級木材のおかげが低音がもうちょっと豊かに膨らむ傾向です。たとえばiFi AudioやBursonなど、低音をズシン高音をシャキッと派手に強調するアンプの方が相性が良いです。
さらに、HA-L7Aのマイルドな傾向はバランス接続の方が強調されやすいので、上の写真のようなヘッドホンでのXLRバランス接続はむしろ逆効果でした。Utopiaはバランス接続の方が落ち着いて良かったのですが、YH-5000SEはシングルエンドの方がスッキリして良いと思えたので、冒頭の写真でもシングルエンドで鳴らしています。
多くのヘッドホンアンプはバランス接続でないとクロストークが目立ち、空間展開が狭くなり、音場再現性が一気に損なわれるのですが、HA-L7Aはシングルエンドで鳴らしてもそういった不具合が無く、バランスで使う必要性はそこまで感じられませんでした。
|
| UE Live |
|
| IE900 |
据え置きヘッドホンアンプだからといって大型ヘッドホンばかりではなく、UE LiveやIE900といったイヤホンも聴いてみました。
多くの人がIEMイヤホンを鳴らすのに据え置きアンプを避けるのは、バックグラウンドノイズが大きいからという理由があると思います。その点HA-L7Aはノイズが極めて低いため、ポータブルアンプやDAPと同じような感覚でイヤホンが楽しめます。
さらにローゲインモードに設定できるので音量の微調整も容易です。上の写真のようにIE900でもローゲインモードでボリュームエンコーダーを半分くらい上げたあたりが私の適正音量でした。
これらヘッドホンやイヤホンを一通り聴いてみて、HA-L7Aのサウンド傾向がおおよそ掴めてきました。私の個人的な感想としては、HA-L7Aはいわゆるコンセント電源の大型据え置きのヘッドホンアンプというよりも、むしろAK SP3000などのようなハイエンドDAPのサウンド感覚が一番近いように思えました。
ハイエンドDAPで得られる澄んだ透明感や、奥行きのある空間展開の余裕といったメリットが、イヤホンだけでなく、出力の心配をせずに大型ヘッドホンでも同様に体験できるというのが、自分なりのHA-L7Aの長所です。
具体的には、HA-L7Aの音響空間の描き方には、常に音場全体が「浮いている」感覚があり、それが据え置きよりもバッテリー駆動のDAPと似ていると思わせている気がします。
これは好みが分かれるところだと思いますが、多くの人が据え置きアンプを求める理由として、土台の安定感とか、地面の提示といった感覚があると思うので、その点HA-L7Aは私が普段聞き慣れているViolectricやSPLといった据え置きアンプとはずいぶん印象が異なります。
その一方で、DAPの方が低音も含めて宙に浮くようなホログラフィックな感覚があり、HA-L7Aはそちらに近いです。コンセント電源の据え置きアンプなのに、このような聴こえ方をするのは意外でした。
DAPでヘッドホンを鳴らしても、バッテリー駆動の電流供給がネックになるのか、どうしてもダイナミクスが不足してスカスカな鳴り方になってしまいますし、そこにブースターアンプなどを追加すると、今度は歪みやノイズが増して荒っぽく変化してしまうなどの難しさがあります。
HA-L7Aは強力な電源や入念な回路設計によってDAP並みの高純度で繊細な鳴り方と高出力のバランスを両立している、意外と珍しい音作りだと感じました。
おわりに
Yamaha HA-L7Aは44万円ということで、ヘッドホンアンプとしては高価な部類に入りますが、全体的に価格に見合う作り込みの高さを実感できる優れた製品だと思いました。
YH-5000SEヘッドホンとの組み合わせが理想的なのはもちろんのこと、ヤマハらしい控えめで味わい深い音作りなので、他社の平面駆動型ヘッドホンなどもしっかりした鳴り方を見せてくれますし、聴き疲れしやすい金属音が目立つようなダイナミック型ヘッドホンでも長時間楽しめるように仕上げてくれます。
大型ヘッドホンはもちろんのこと、IEMイヤホンでも活用できる汎用性と、意外とコンパクトにデスクトップに置けるデザインを気に入りました。昨今のガジェット系の新興メーカーとは一味違った、本格派オーディオブランドらしい熟練の音作りといった点でユニークな存在です。
その一方で、DSPのサウンドフィールド効果は効きすぎて使いどころが難しいと思ったので、もうちょっと普段使いに適したクロスフィード的な効果も欲しかったです。また全体的な音作りも、大迫力の据え置きアンプというよりは、DAP的な鳴り方の延長線上の印象があります。(もしAKが作ったらこんな音になるだろうな、なんて思えたりします)。
しかし大型据え置きヘッドホンアンプの多くはノイズや歪みなどの点では不利だったりするので、HA-L7Aはそういったマニアの試行錯誤を色々と体験してきて、そろそろスッキリしたシンプルな構成にまとめたいと考えている人にこそ向いているのかもしれません。
とくにDACとアンプの両方が高水準にまとまっている一体型製品というのは意外と珍しいです。DACがメインの製品に、おまけ程度のヘッドホン出力端子が用意されていたり、逆に、私が使っているPhoitor XやV281などのように、あくまでアナログアンプがメインで、DAC内蔵オプションが選べても内容が釣り合わないなど、過度な期待をすると失敗する事が多いです。その点HA-L7Aは一体型として全体的に妥協のない設計を行っています。
価格面でも、44万円が高いか安いかは個人の感覚次第ですが、Fiio K9などの一体型と比べると高いものの、同じく中国メーカーToppingやSMSLなどでさえ、DACとアンプをセパレートで揃えたら40万円は容易に到達してしまいます。
しかも近頃は物価高騰で、今回比較に使ったHugo TT2も2018年の発売当初は60万円台でしたが、最新の値段を見たら90万円超になっていたので驚きました。SPL Phonitor XEとQutest DACのセットでも50万円超ですし、セパレートだとインターコネクトケーブルにも散財することになります。
一体型のライバルでは、Chord以外だとiFiのSignatureやQuestyle CMAシリーズなんかが思い浮かびます。これらのメーカーは、モデルの上下や新旧を問わず、それぞれメーカー独自のサウンドを持っているのが人気の秘訣のようです。その点ヤマハは今後どのような路線を目指すのか気になります。
もしライフスタイル系に向かうのなら、USBストレージとかネットワーク接続などは必須の機能だと思います。合わせて使うストリーマーもNP-S303の後継機を期待したいです。ルーターやネットワーク製品に強いヤマハ製でSforzato DST-LacertaとかSoundgenicみたいなデバイスを出してくれたら結構売れそうな気がします。
または、サラウンドシアターや3D音響というセールスポイントを追求するのなら、ヤマハのAVアンプやサウンドバーのように、ゲームや映画でDSPを活かすためにもHDMIやUSBでの多チャンネルDAC入力に対応する必要があります。
オーディオファイル系に向かうのであれば、ヤマハはフラッグシップ5000シリーズやNS10Mモニタースピーカーからピアノや管弦楽器まで幅広い知見のあるメーカーなので、それらを活かした製品開発を期待したいです。
このようにヤマハというブランドイメージで様々な方向性が思い浮かび、その点では今回のHA-L7Aはちょっと尖った要素が足りない、掴みどころがないようにも感じますが、ヤマハのエッセンスは存分に実感できる、バランスのよい製品でもあります。
ヘッドホンアンプは十年前なら日本のメーカーでも色々な選択肢がありましたが、最近はめっきり少なくなりました(ティアックがHA-507を発表したくらいでしょうか)。ソニー、マランツ、フォステクスなどが音沙汰ない中で、ヤマハという意外なところからハイエンドなヘッドホンアンプが登場したのは素直に嬉しいです。
アマゾンアフィリンクのテスト
|
| YAMAHA カジュアル管楽器 Venova |
|
| YAMAHA メトロノーム アイボリー MP-90IV |
|
| YAMAHA ポリシングクロス DX |
|
| YAMAHA ヘッドホン ブラック HPH-150B |
|
| YAMAHA ハンドカスタネット コンビ色 YHC-C4 |
|
| ヤマハ キーボード SHS-300 sonogenic |
|
| YAMAHA トレーニングパット 8インチ スタンド付 TS01S |
|
| ヤマハ コンパクトサウンドバー SR-C20A(W) 横幅60cm |

































